学院地址:安徽省芜湖市弋江区文昌西路
联系电话:0553-5971012 0553-5971159
通知公告
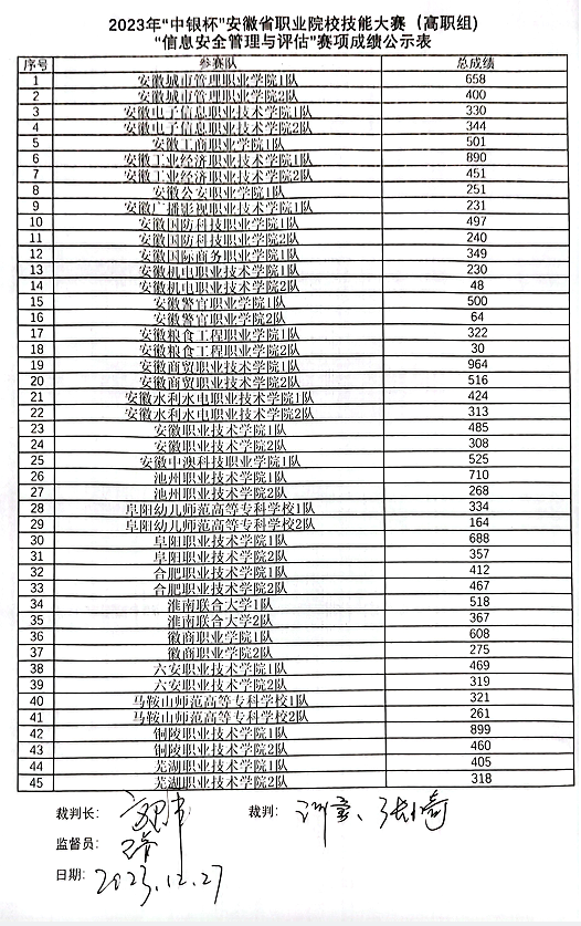
2023年安徽省职业院校技能大赛(高职组)“信息安全管理与评估”赛项成绩公示
来源: 添加日期:2023-12-27
各参赛院校:
我院承办的2023年安徽省职业院校技能大赛信息安全管理与评估赛项于2023年12月27日结束,现将比赛成绩予以公示。
公示期自2023年12月27日至2023年12月29日18:00,联系电话:0553-5971065。

taptap网页入口登录赛点办公室
2023年12月27日